-
Science
-
High School
-
9th grade
-
Biology
-
English
Author's Instructions
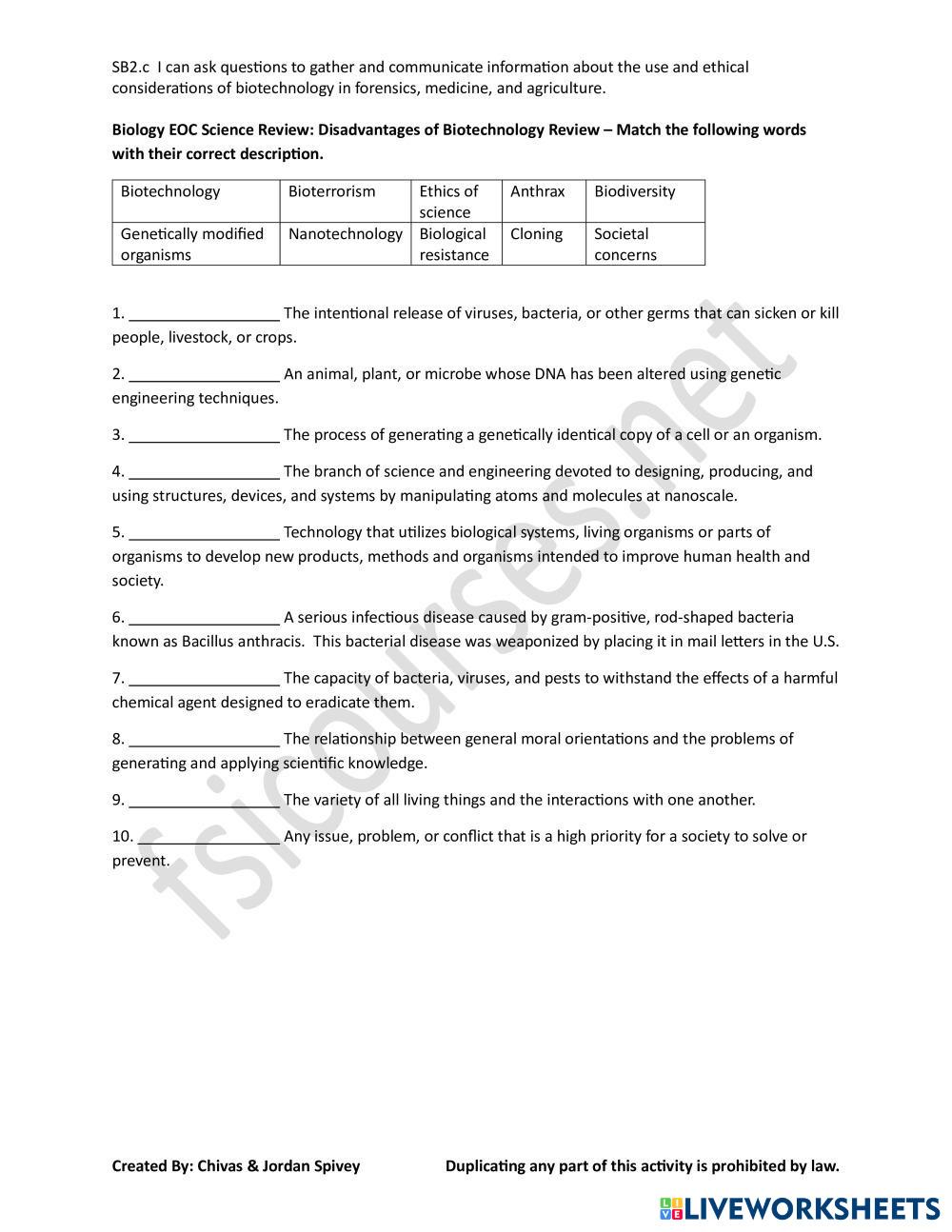
Use your notes and knowledge ot complete the following activity.
-
Science
-
High School
-
9th grade
-
Biology
-
English
Author's Instructions
Use your notes and knowledge ot complete the following activity.
Explore Worksheets
Endocrine System
- Science
- 9th grade
Cell Membrane Strucutre and Function - Part 2
- Science
- 9th grade
š New Feature: Share worksheets & get automatic grading via Google Classroom š
