-
Natural Science
-
Animal adaptations
-
Age 11-14
-
level: grade 5
-
English
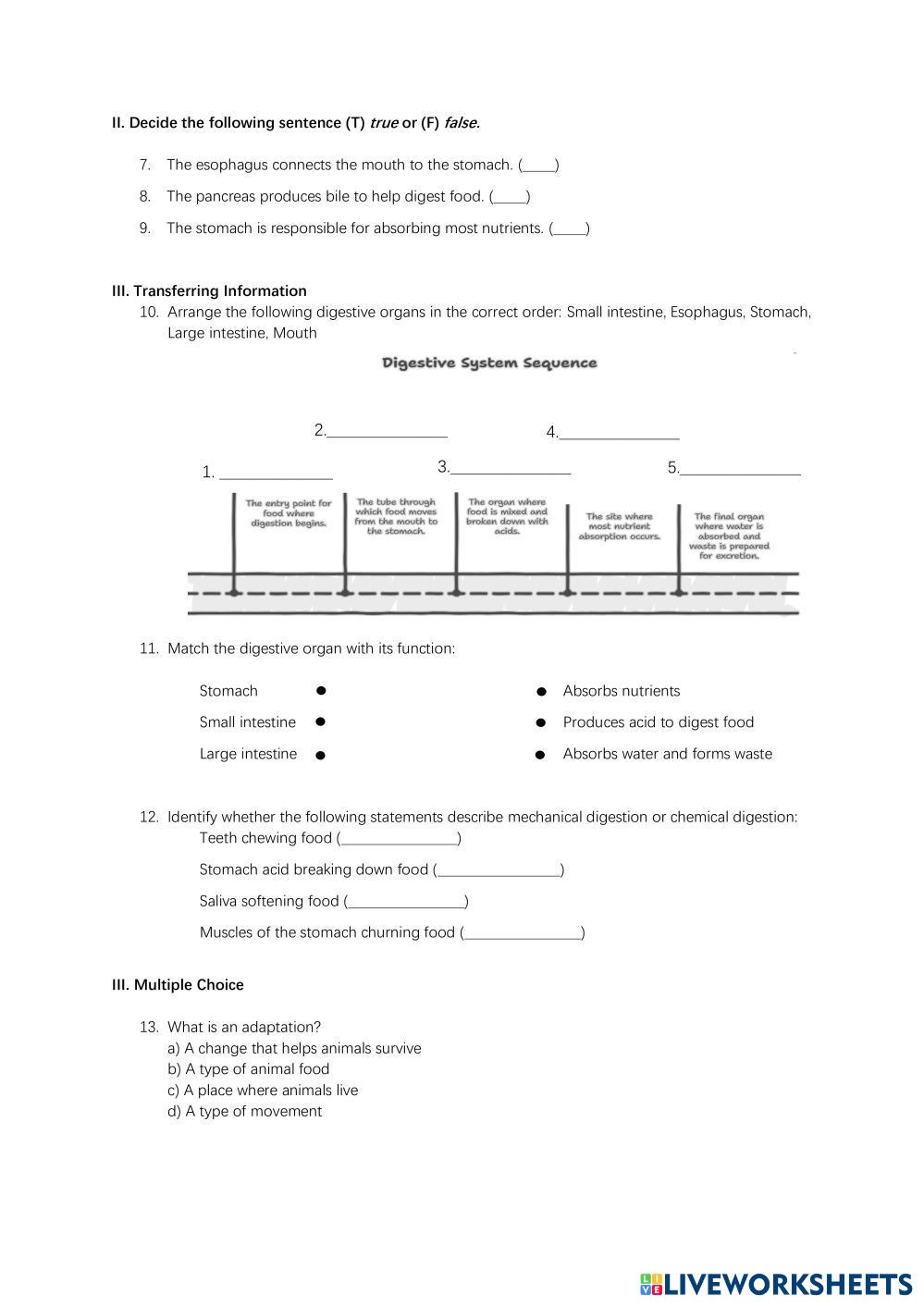
Author's Instructions
-
Natural Science
-
Animal adaptations
-
Age 11-14
-
level: grade 5
-
English
📚 New Feature: Share worksheets & get automatic grading via Google Classroom 🎓
