Created by

JMC81
-
English as a Second Language (ESL)
-
Degrees of Comparison of Adjectives, AS... AS
-
Age 11-14
-
level: 1º ESO, 2º ESO, 6º PRIMARIA , 3º ESO
-
English
Author's Instructions
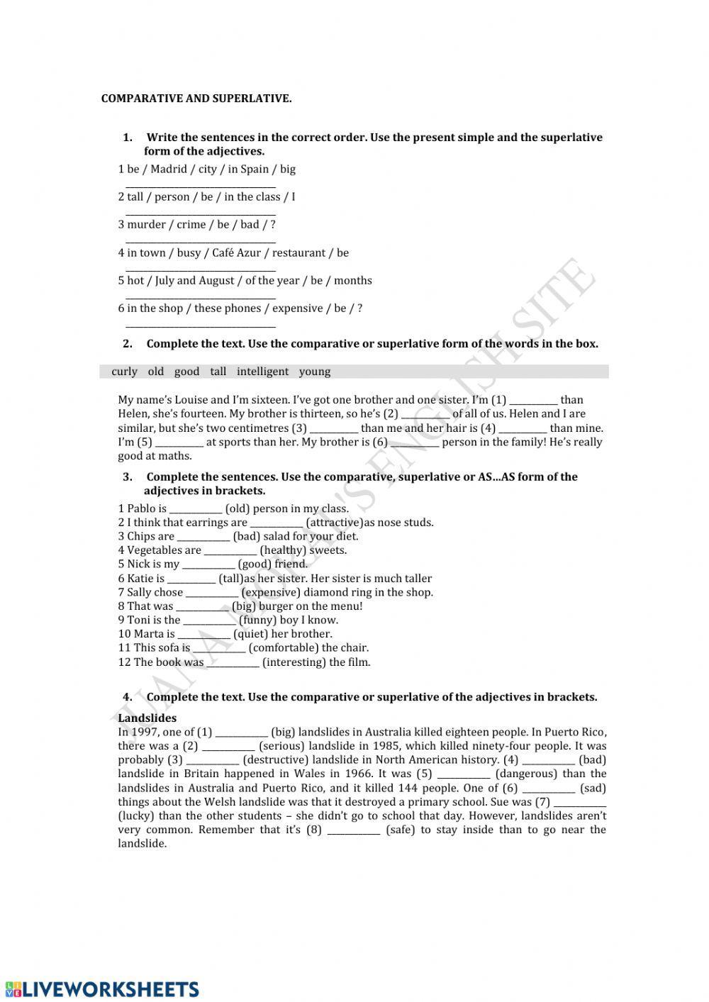
Worksheet to learn and distinguish comparative, superlative and as..as. Form and usage.
Created by

JMC81
-
English as a Second Language (ESL)
-
Degrees of Comparison of Adjectives, AS... AS
-
Age 11-14
-
level: 1º ESO, 2º ESO, 6º PRIMARIA , 3º ESO
-
English
Author's Instructions
Worksheet to learn and distinguish comparative, superlative and as..as. Form and usage.
📚 New Feature: Share worksheets & get automatic grading via Google Classroom 🎓