-
English as a Second Language (ESL)
-
Reading comprehension
-
Age 8+
-
level: Pre-Intermedite
-
English
Author's Instructions
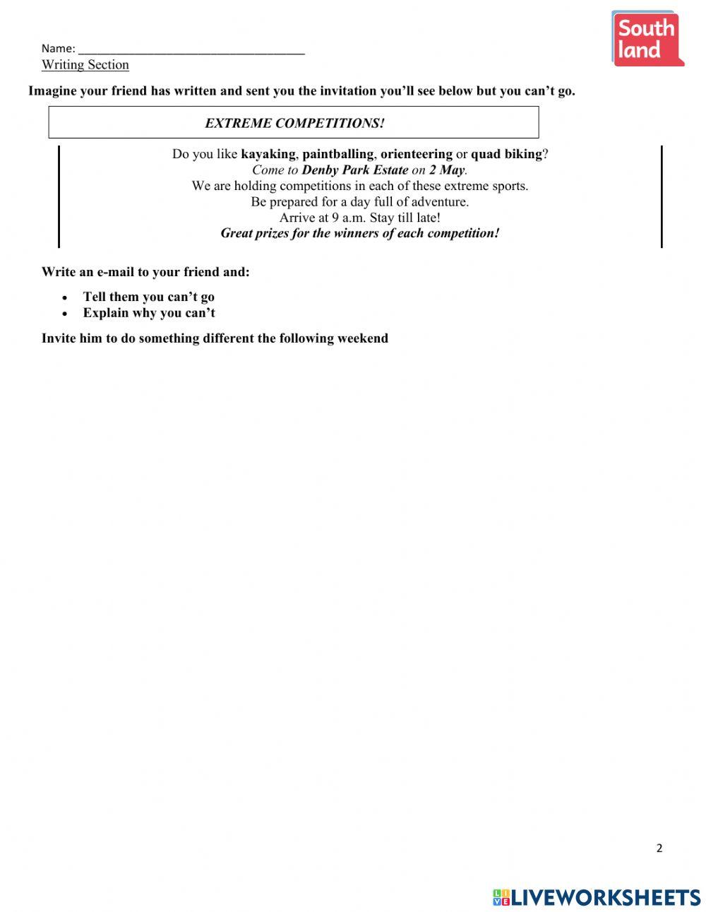
Reading activity plus writing an reply to an invitation
-
English as a Second Language (ESL)
-
Reading comprehension
-
Age 8+
-
level: Pre-Intermedite
-
English
Author's Instructions
Reading activity plus writing an reply to an invitation
📚 New Feature: Share worksheets & get automatic grading via Google Classroom 🎓
