-
English as a Second Language (ESL)
-
Listening comprehension
-
Age 16+
-
level: Upper Intermediate
-
English
Author's Instructions
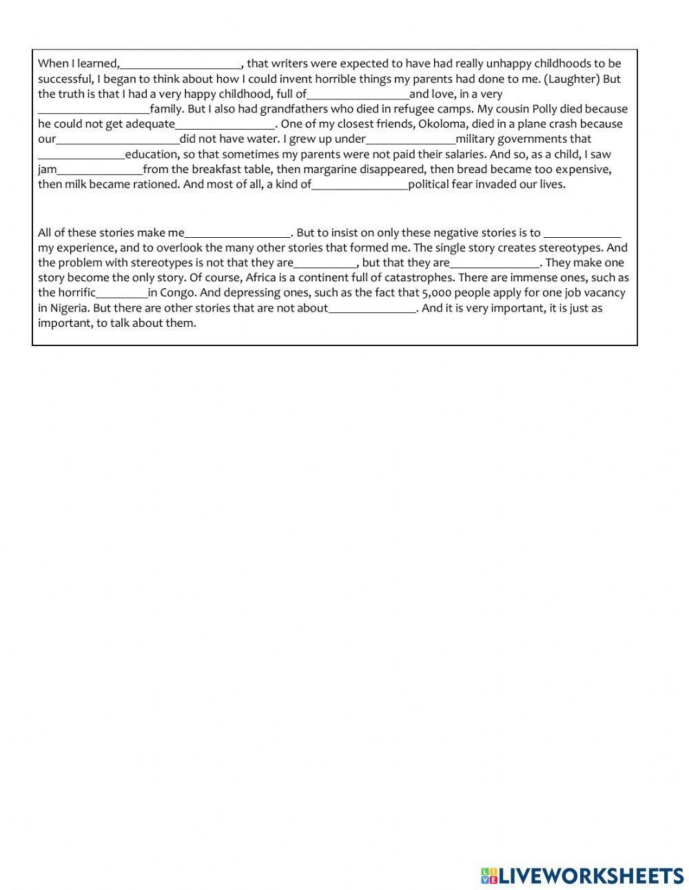
TEDTalk: The Danger of a Single Story by Chimamanda Adichie
-
English as a Second Language (ESL)
-
Listening comprehension
-
Age 16+
-
level: Upper Intermediate
-
English
Author's Instructions
TEDTalk: The Danger of a Single Story by Chimamanda Adichie
📚 New Feature: Share worksheets & get automatic grading via Google Classroom 🎓