Created by

Refia
-
English as a Second Language (ESL)
-
Personality Adjectives
-
Age 16+
-
level: B2
-
English
Author's Instructions
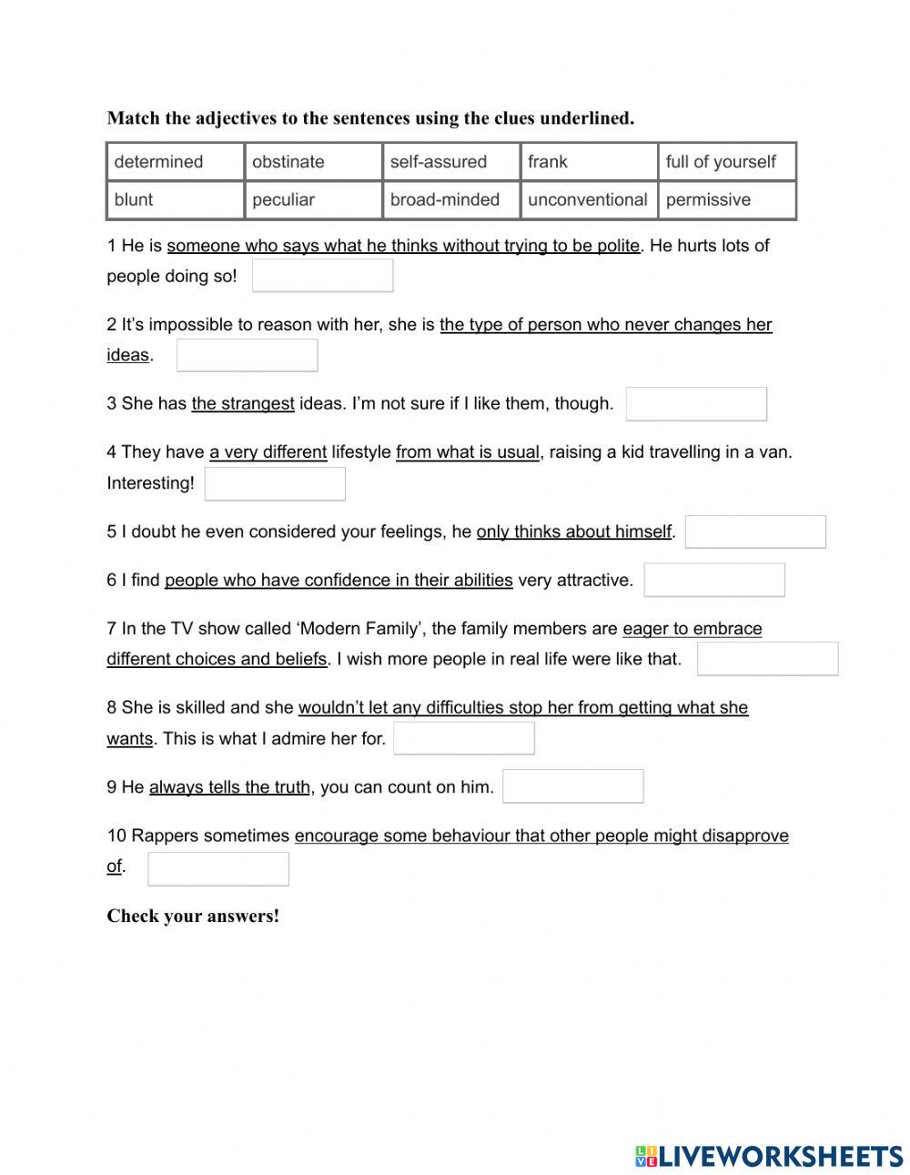
Students should drag the adjectives into the correct boxed using the clues underlined. The activity can be followed by a discussion on whether the adjectives are rather positive or negative.
Created by

Refia
-
English as a Second Language (ESL)
-
Personality Adjectives
-
Age 16+
-
level: B2
-
English
Author's Instructions
Students should drag the adjectives into the correct boxed using the clues underlined. The activity can be followed by a discussion on whether the adjectives are rather positive or negative.
📚 New Feature: Share worksheets & get automatic grading via Google Classroom 🎓