Created by

cidia
- English language
- Verb to be
- Age 13-18
-
level: 9ANO
- English
Author's Instructions
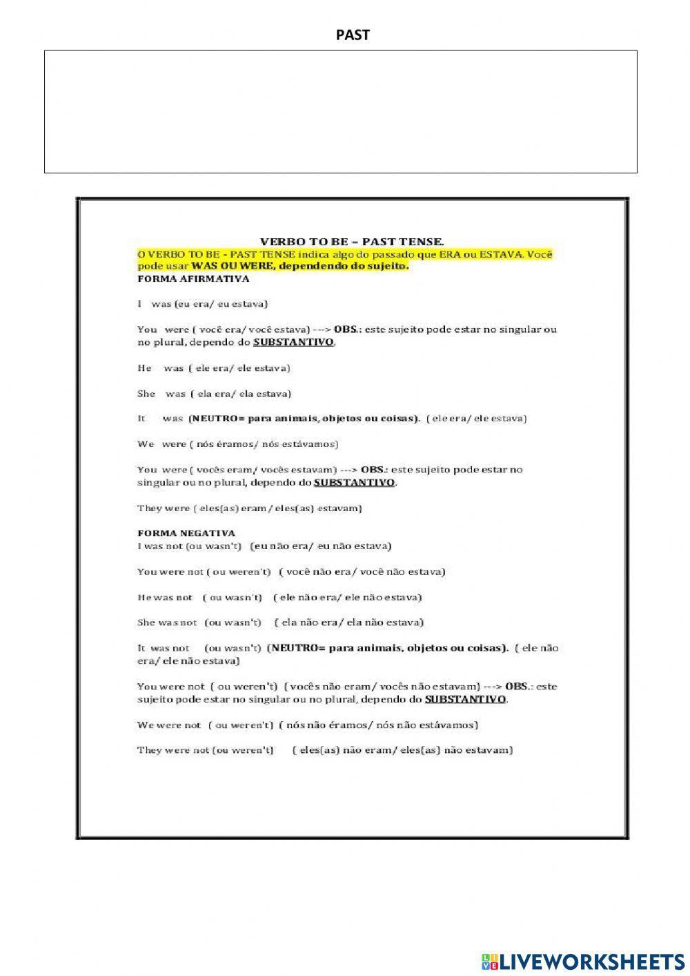
CONHECER O PRESENTE E PASSADO DO VERBO TO BE
Created by

cidia
Author's Instructions
CONHECER O PRESENTE E PASSADO DO VERBO TO BE
Created by

level: 9ANO
CONHECER O PRESENTE E PASSADO DO VERBO TO BE
Created by

CONHECER O PRESENTE E PASSADO DO VERBO TO BE