Created by

Chrysalys
-
Μαθηματικά
-
Υπολογισμός τριγωνομετρικών αριθμών
-
Age 16+
-
level: Άλγεβρα Β΄Λυκείου
-
Greek (modern)
Author's Instructions
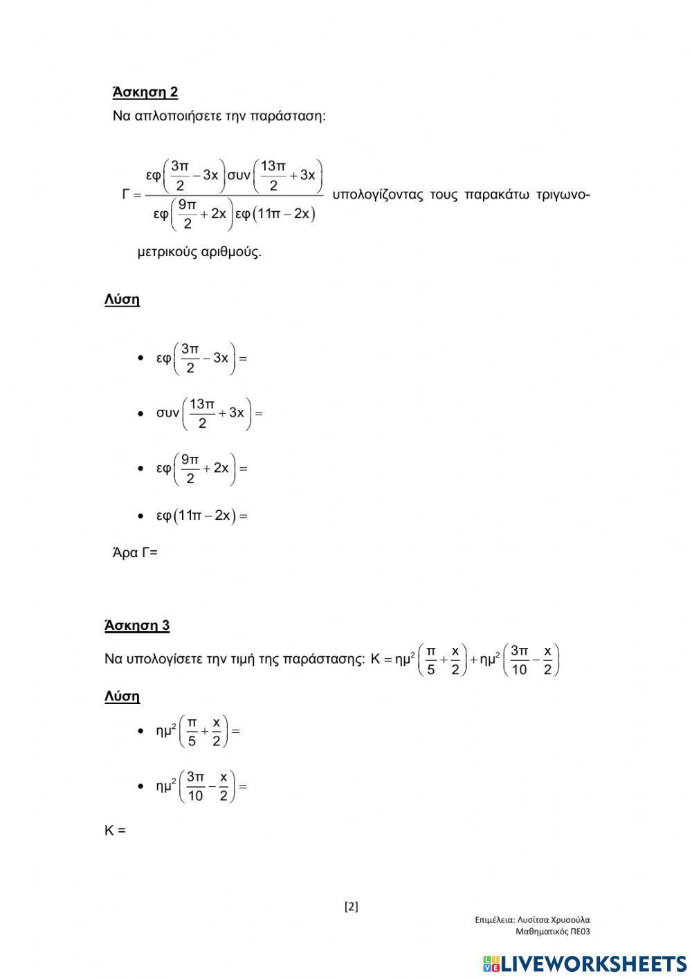
Υπολογισμός τριγωνομετρικών αριθμών που ανάγονται στο 1ο τεταρτημόριο
Created by

Chrysalys
-
Μαθηματικά
-
Υπολογισμός τριγωνομετρικών αριθμών
-
Age 16+
-
level: Άλγεβρα Β΄Λυκείου
-
Greek (modern)
Author's Instructions
Υπολογισμός τριγωνομετρικών αριθμών που ανάγονται στο 1ο τεταρτημόριο
📚 New Feature: Share worksheets & get automatic grading via Google Classroom 🎓