-
Matematika
-
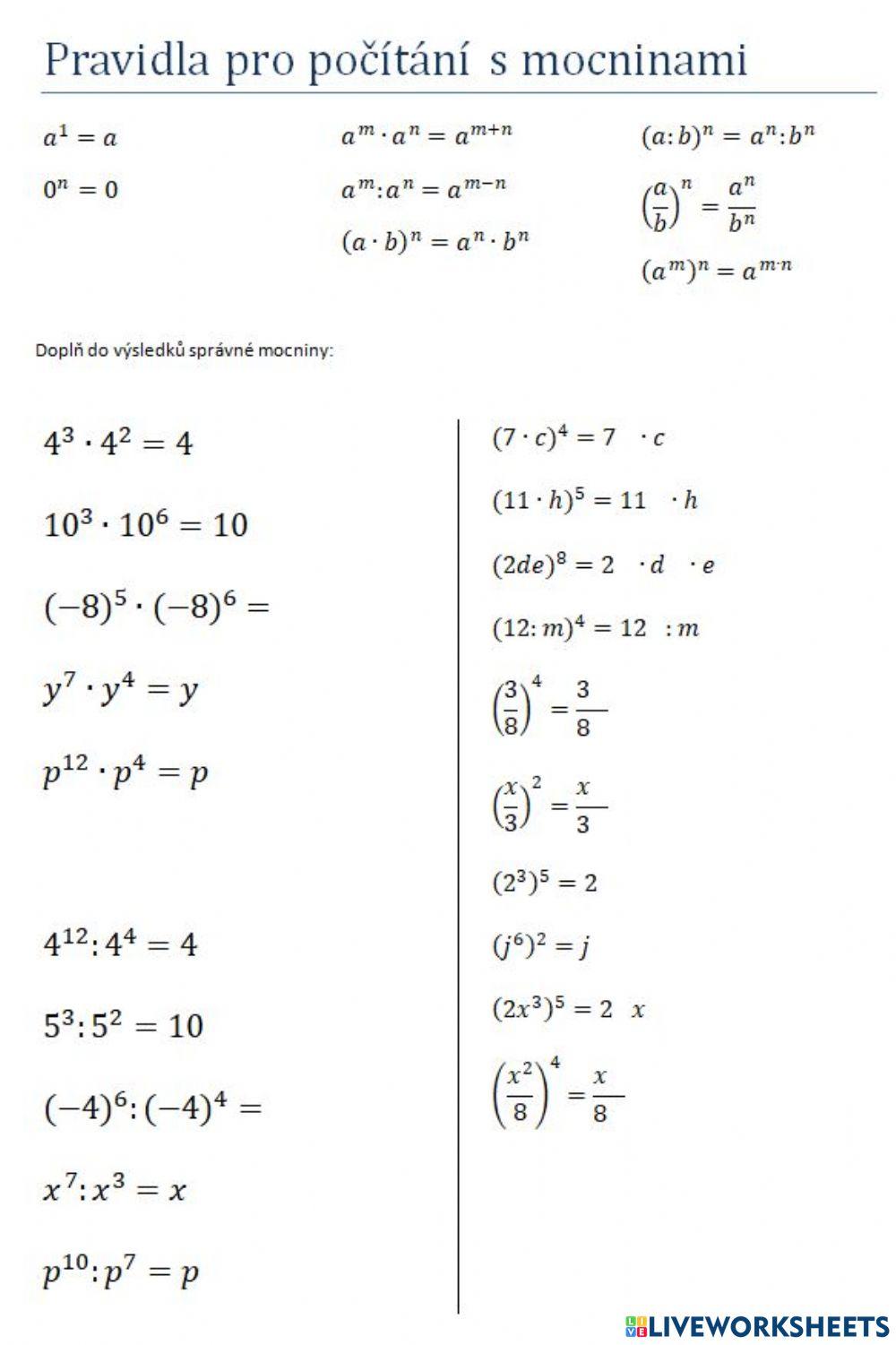
Mocniny
-
Age 12-16
-
level: 8
-
Czech
Author's Instructions
mocniny, pravidla pro počítání s mocninami
-
Matematika
-
Mocniny
-
Age 12-16
-
level: 8
-
Czech
Author's Instructions
mocniny, pravidla pro počítání s mocninami
📚 New Feature: Share worksheets & get automatic grading via Google Classroom 🎓
