-
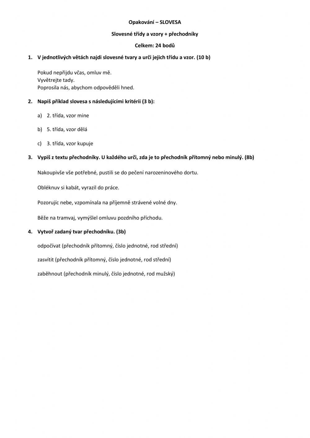
Český jazyk
-
Slovní druhy
-
Age 14-15
-
level: 9. třída
-
Czech
Author's Instructions
Žák si zopakuje slovesné třídy a vzory, pozná přechodník přítomný a minulý.
-
Český jazyk
-
Slovní druhy
-
Age 14-15
-
level: 9. třída
-
Czech
Author's Instructions
Žák si zopakuje slovesné třídy a vzory, pozná přechodník přítomný a minulý.
📚 New Feature: Share worksheets & get automatic grading via Google Classroom 🎓
