-
Science
-
High School
-
9th grade
-
Chemistry
-
Cree
Author's Instructions
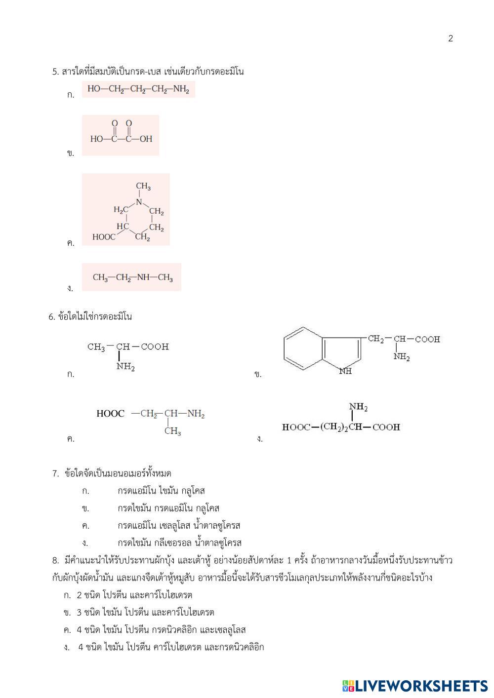
เลือกคำตอบที่ถูกต้องที่สุด เพียงตัวเลือกเดียวในแต่ละข้อ
-
Science
-
High School
-
9th grade
-
Chemistry
-
Cree
Author's Instructions
เลือกคำตอบที่ถูกต้องที่สุด เพียงตัวเลือกเดียวในแต่ละข้อ
Explore Worksheets
ใบกิจกรรมที่4
- Science
- 9th grade
Ненасичені вуглеводні
- Science
- 9th grade
LKP LAJU REAKSI
- Science
- 9th grade
📚 New Feature: Share worksheets & get automatic grading via Google Classroom 🎓
