Created by

remeidiaz
-
Física i Química
-
Magnituds i unitats
-
Age 12-16
-
level: 4t ESO
-
Catalan
Author's Instructions
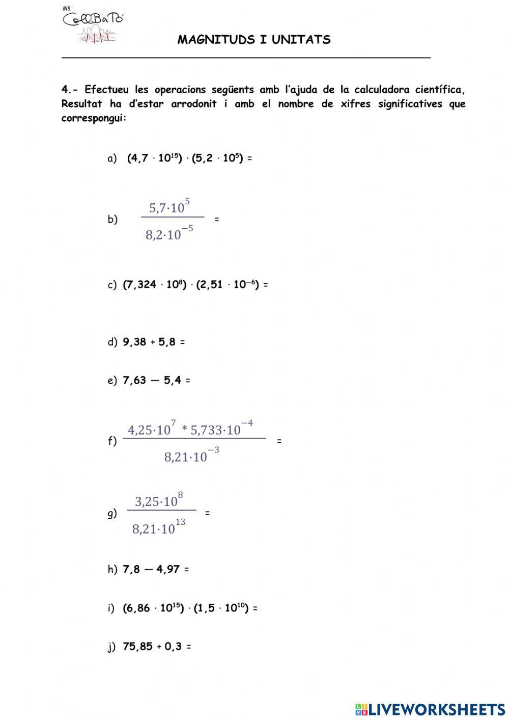
Practicat amb unitats i magnituds i errors
Created by

remeidiaz
-
Física i Química
-
Magnituds i unitats
-
Age 12-16
-
level: 4t ESO
-
Catalan
Author's Instructions
Practicat amb unitats i magnituds i errors
📚 New Feature: Share worksheets & get automatic grading via Google Classroom 🎓