Created by

Sumaya_alorayedh
- رياضيات
- ايجاد المشتقة عند نقطة
- Age 16-17
-
level: 12
- Arabic
Author's Instructions
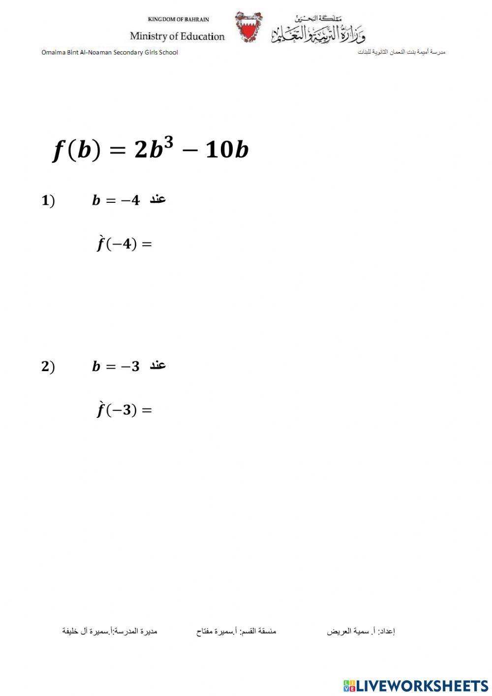
ايجاد المشتقة عند نقطة
Created by

Sumaya_alorayedh
Author's Instructions
ايجاد المشتقة عند نقطة
Created by

level: 12
ايجاد المشتقة عند نقطة
Created by

ايجاد المشتقة عند نقطة