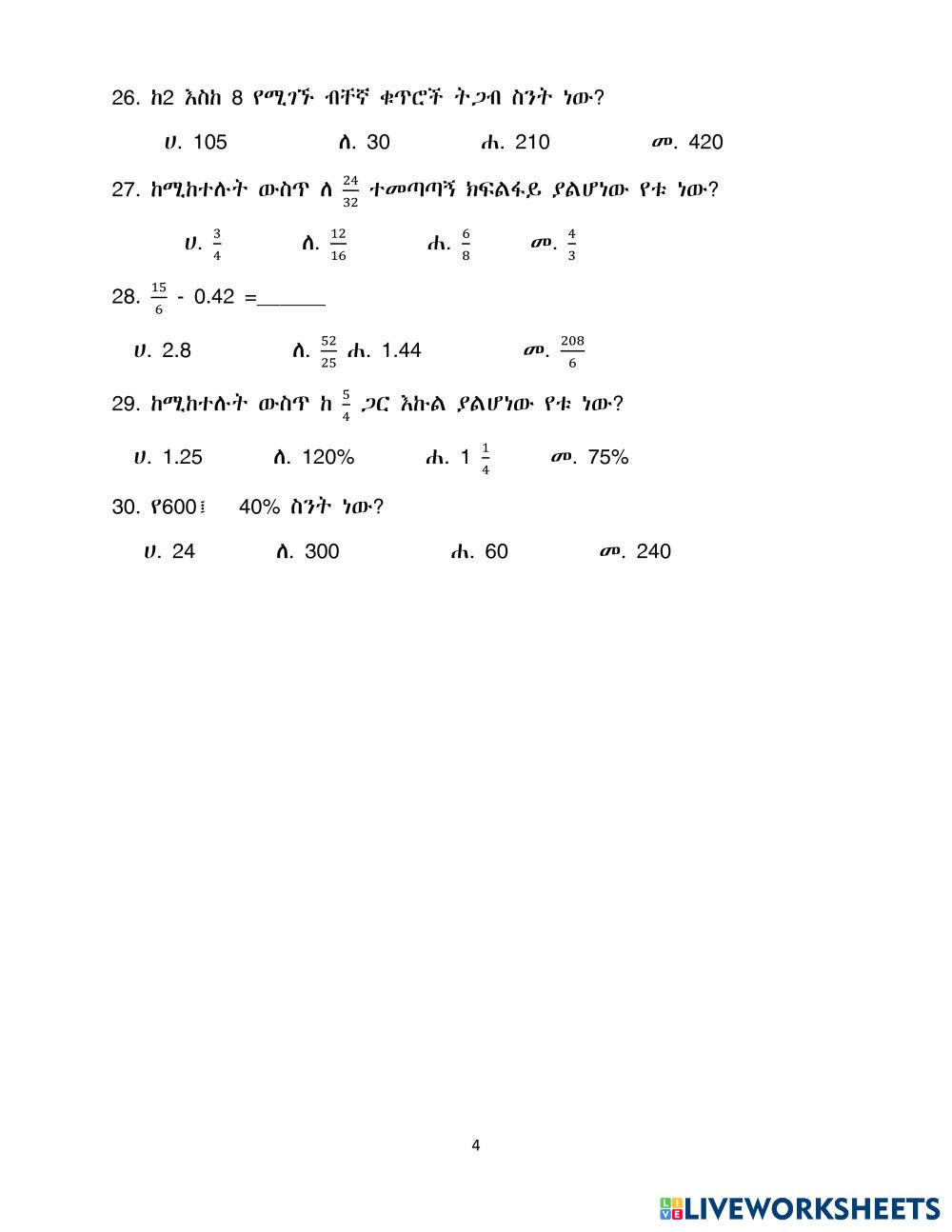
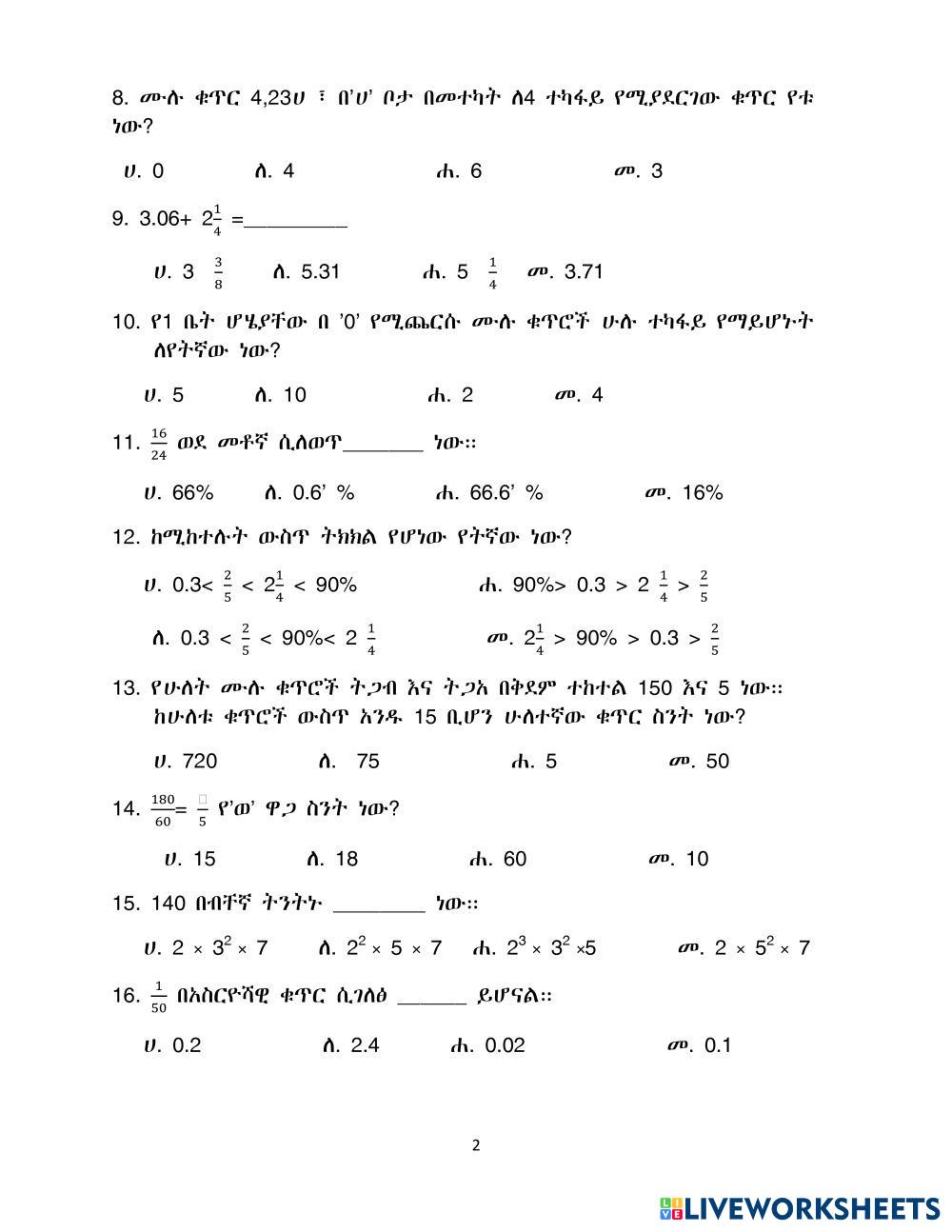
Created bySamrawit Math Middle School 6th grade Algebra Amharic Author's Instructions Practice these questions My Google Classroom Courses × 0 classes selected (0 students total) Quick Access Select all classes (0 classes) All Classes Loading courses... Cancel Share Share to selected Course __COURSE_NAME__ __STUDENT_NAME__ (__STUDENT_EMAIL__) G6 Maths 1st Semester exam 2016 Download Worksheet Validation Check my answers Emails my answers to my teacher Full name Group/level School subject Teacher's email or key code Close Submit Validating worksheet... (12) Your answers have been sent to your teacher. Good luck! OK We encountered an error submitting your answers. Please try again. OK Advertisement | Go Ad Free Created bySamrawit Math Middle School 6th grade Algebra Amharic Author's Instructions Practice these questions Explore Worksheets Operații cu fracții Math 6th grade Operații cu fracții Algebra - Math Completează spațiile libere cu fracțiile rezultatele obținute cubo de un binomio Math 6th grade cubo de un binomio Algebra - Math productos notables Multiplicación y división de números decimales Math 6th grade Multiplicación y división de números decimales Algebra - Math Realiza los cálculos de las multiplicaciones y divisiones en tu cuaderno y encuentra el resultado de cada operación en el centro del tablero. Arrastra cada operación hacia su resultado correspondiente. G.5 บทที่ 12 รากที่สอง Math 6th grade G.5 บทที่ 12 รากที่สอง Algebra - Math -