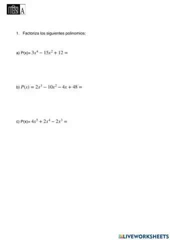
Múltiplos, divisores, factorización prima, MCD, mcd Múltiplos, divisores, factorización prima, MCD, mcd