📚 New Feature: Share worksheets & get automatic grading via Google Classroom 🎓 Learn how
Most Popular
Newest
Oldest
A-Z
Z-A
סדר פעולות חשבון מספרים טבעיים
דף עבודה בנושא סדר פעולות חשבון. מספרים טבעיים, כולל חזקה
מתמטיקה
פתרו את המשוואות הבאות
תרגול בסיסי של נגזרת פולינום
Hebrew
Learn the names of wild animals in Hebrew
זיהוי משולשים חופפים
התפלגות נורמלית
דף עבודה קצר להתחלת נושא התפלגות נורמלית
זיהוי ויזואלי של משוואת הישר
מבנה עשרוני
[email protected]
עברית
בעיות מילוליות
בעיות מילוליות: קנייה מכירה, תנועה, אחוזים, מערכת משוואות
פונקציות
עבודת קיץ עולים לכיתה י4-5 יח"ל - פרק פונקציות
שפה לשון
דף תרגול בנושא מילות קישור
אלגברה
פתיחת סוגריים
תרגול שורש ריבועי
אולפן
מבחן רמה א
שפה
התאמת צליל פותח א-ב-ר לתמונה
אורט מעלות
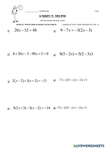
פתרון משוואות כולל עם סוגריים ושאלות מילוליות
השלמת פועל ושם פועל
הסבר+ תרגילים
חפיפת משולשים הוכחה דדוקטיבית
ערבית
תרגול תא מרבוטה ואוצר מילים
מבדק צירופי שם פועל
חיבור מספרים מכוונים