¿Quieres miles de fichas gratuitas (y cero distracciones)? Here’s how
Search
Más popular
Newest
Oldest
A-Z
Z-A
Maths
Simplifying multiplication and division of algebraic expressions
Math
GCF, LCM, Algebra, Factors and multiples, lcm, gcf, algebra
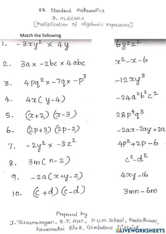
MULTIPLICATION OF ALGEBRAIC EXPRESSIONS
multiplication of algebraic expressions
Simple multiplication of algebraic expressions
This worksheet evaluates competencies in multiplying terms in algebraic expressions.
Addition, subtraction, multiplication and division on algebraic expressions.
multiple of algebra
MATHEMATICS
Algebraic Expressions (Multiplication)
Multiplication and Algebraic Expression