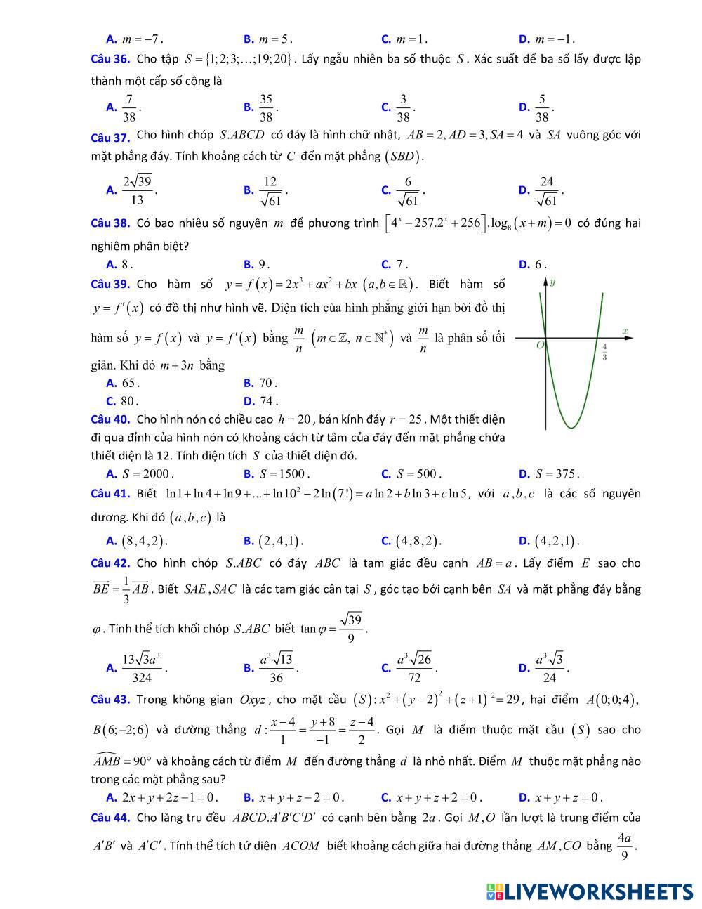
Created byDinh Phuoc Tan Toán Toán 12 Edad 15+ level: grade 12 Vietnamese Instrucciones del autor My Google Classroom Courses × 0 classes selected (0 students total) Quick Access Select all classes (0 classes) All Classes Loading courses... Cancelar Share Share to selected Course __COURSE_NAME__ __STUDENT_NAME__ (__STUDENT_EMAIL__) Đề ôn thi TN THPT Năm 2024- môn Toán Descargar Worksheet Validation Comprobar mis respuestas Emails my answers to my teacher Nombre completo Group/level Asignatura Teacher's email or key code Close Submit Validating worksheet... (12) Your answers have been sent to your teacher. Good luck! OK We encountered an error submitting your answers. Please try again. OK Anuncio | Ir sin anuncios Created byDinh Phuoc Tan Toán Toán 12 Edad 15+ level: grade 12 Vietnamese Instrucciones del autor