Created by

tiaquocthang80
-
chemistry
-
Công htức
-
Edad 12-15
-
level: 8
-
Vietnamese
Instrucciones del autor
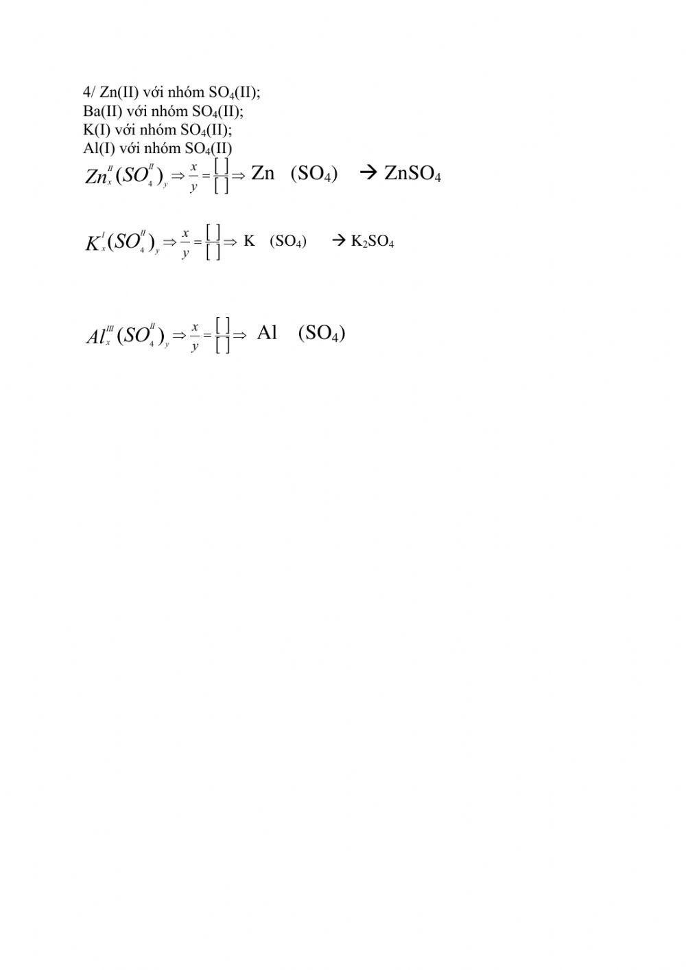
viết công thức hợp chất
Created by

tiaquocthang80
-
chemistry
-
Công htức
-
Edad 12-15
-
level: 8
-
Vietnamese
Instrucciones del autor
viết công thức hợp chất
¿Quieres miles de fichas gratuitas (y cero distracciones)?