-
Ciencias
-
Educación Secundaria Obligatoria
-
1º de ESO
-
Ciencias Físicas
-
Thai
Instrucciones del autor
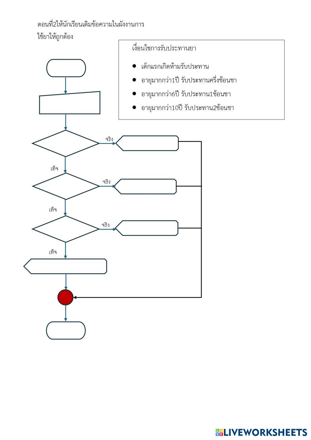
ให้นักเรียนเลือกคำตอบเติมลงในช่องว่าง
-
Ciencias
-
Educación Secundaria Obligatoria
-
1º de ESO
-
Ciencias Físicas
-
Thai
Instrucciones del autor
ให้นักเรียนเลือกคำตอบเติมลงในช่องว่าง
Explora las hojas de trabajo
Clasificación de las sales
- Science
- 7th grade
НАВЧАЛЬНЕ ДОСЛІДЖЕННЯ № 6 «Розділення неоднорідних сумішей»
- Science
- 7th grade
ATS IPA KELAS 8 - INK
- Science
- 7th grade
¿Quieres miles de fichas gratuitas (y cero distracciones)? 