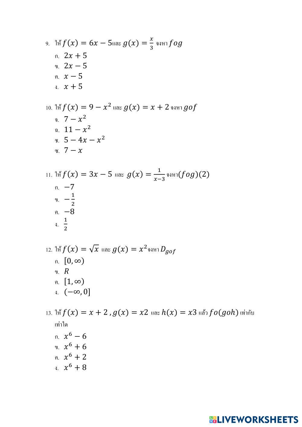
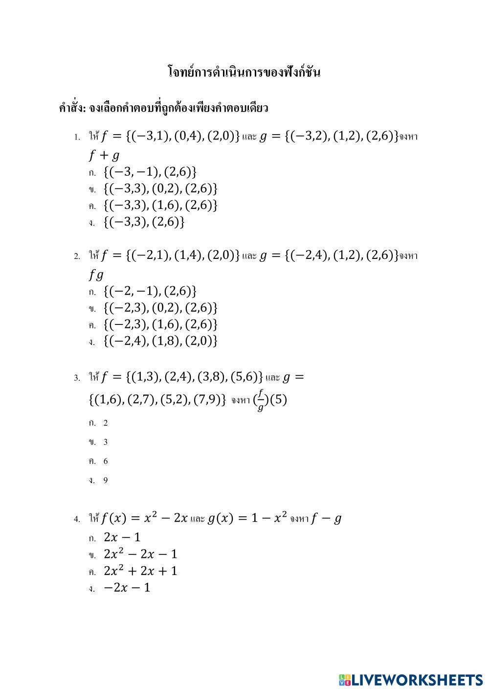
Created byfewweee_48 math Other Edad 14-18 level: 2 Thai Instrucciones del autor - My Google Classroom Courses × 0 classes selected (0 students total) Quick Access Select all classes (0 classes) All Classes Loading courses... Cancelar Share Share to selected Course __COURSE_NAME__ __STUDENT_NAME__ (__STUDENT_EMAIL__) แบบทดสอบเลือกตอบ Descargar Worksheet Validation Comprobar mis respuestas Emails my answers to my teacher Nombre completo Group/level Asignatura Teacher's email or key code Close Submit Validating worksheet... (12) Your answers have been sent to your teacher. Good luck! OK We encountered an error submitting your answers. Please try again. OK Anuncio | Ir sin anuncios Created byfewweee_48 math Other Edad 14-18 level: 2 Thai Instrucciones del autor -