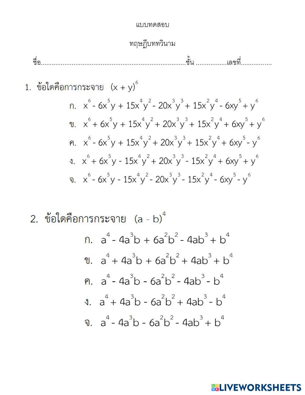
Created by 342094 Matemáticas Bachillerato 1º de Bachillerato Probabilidades y Estadísticas Thai Instrucciones del autor ทวินาม My Google Classroom Courses × 0 classes selected (0 students total) Quick Access Select all classes (0 classes) All Classes Loading courses... Cancelar Share Share to selected Course __COURSE_NAME__ __STUDENT_NAME__ (__STUDENT_EMAIL__) แบบทดสอบทฤษฎีบททวินาม Descargar Worksheet Validation Comprobar mis respuestas Emails my answers to my teacher Nombre completo Group/level Asignatura Teacher's email or key code Close Submit Validating worksheet... (12) Your answers have been sent to your teacher. Good luck! OK We encountered an error submitting your answers. Please try again. OK Anuncio | Ir sin anuncios Created by 342094 Matemáticas Bachillerato 1º de Bachillerato Probabilidades y Estadísticas Thai Instrucciones del autor ทวินาม Explora las hojas de trabajo 15.04.26 д/з група 3 Math 11th grade 15.04.26 д/з група 3 Probability and Statistics - Math Виконите завдання 15.04.2026 Math 11th grade 15.04.2026 Probability and Statistics - Math Виконайте завдання Diagnostica proposito 3 cultura digital 2 Math 11th grade Diagnostica proposito 3 cultura digital 2 Probability and Statistics - Math Responde el cuastionario siguiendo las indicaciones en él Examen 2 Unidad -TICS1- 4Electrónica-4Electricidad Math 11th grade Examen 2 Unidad -TICS1- 4Electrónica-4Electricidad Probability and Statistics - Math Lea detenidamente cada una las instrucciones insertas en su prueba digital, cualquier duda, levante la mano y llame a su Profesora para que se la resuelva. Se observa material o páginas web abiertas al momento de realizar la prueba, está será anulada y se enviará a Oficina Escolar para que inicien el debido proceso.