Created by

Aliya_t
- Математика
- Домашняя работа
- Edad 14-16
-
level: 8
- Russian
Instrucciones del autor
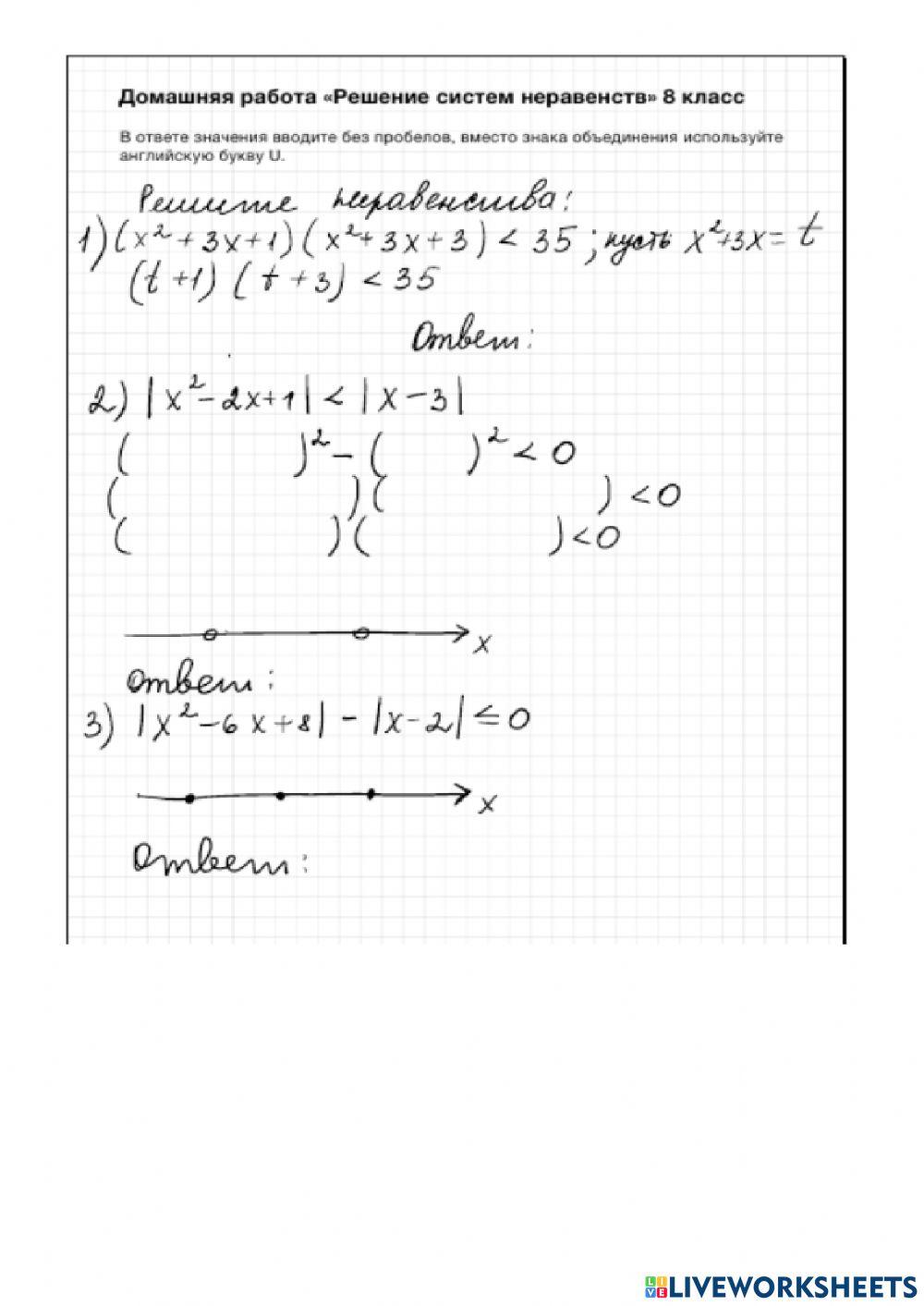
решить неравенства с модулем
Created by

Aliya_t
Instrucciones del autor
решить неравенства с модулем
Created by

level: 8
решить неравенства с модулем
Created by

решить неравенства с модулем