-
Pendidikan Agama Islam (PAI)
-
Soal Tes Uji Coba US
-
Edad 11-14
-
level: 6
-
Indonesian
Instrucciones del autor
Selamat mengerjakan !
-
Pendidikan Agama Islam (PAI)
-
Soal Tes Uji Coba US
-
Edad 11-14
-
level: 6
-
Indonesian
Instrucciones del autor
Selamat mengerjakan !
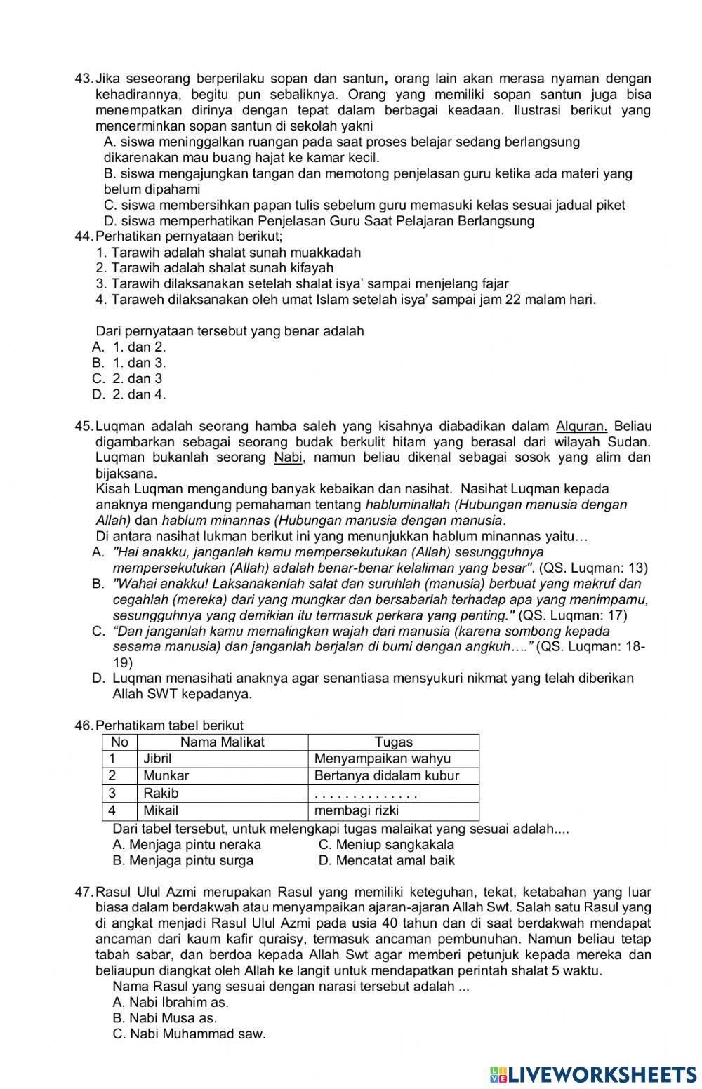
¿Quieres miles de fichas gratuitas (y cero distracciones)? 