-
Matematika
-
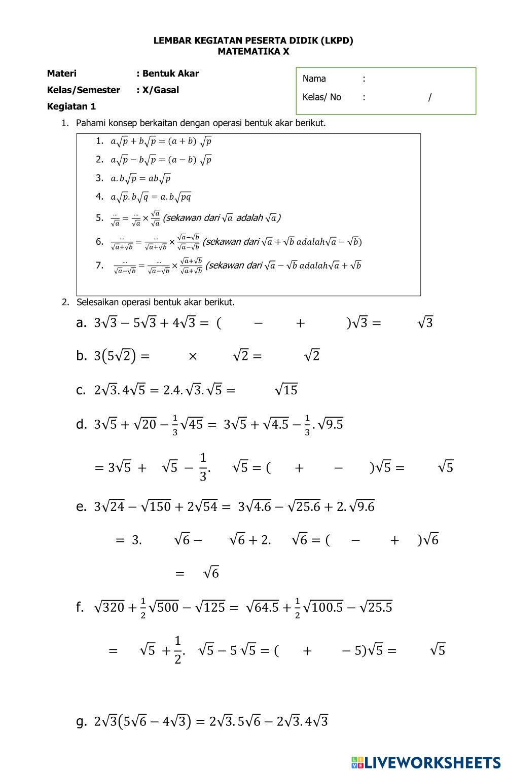
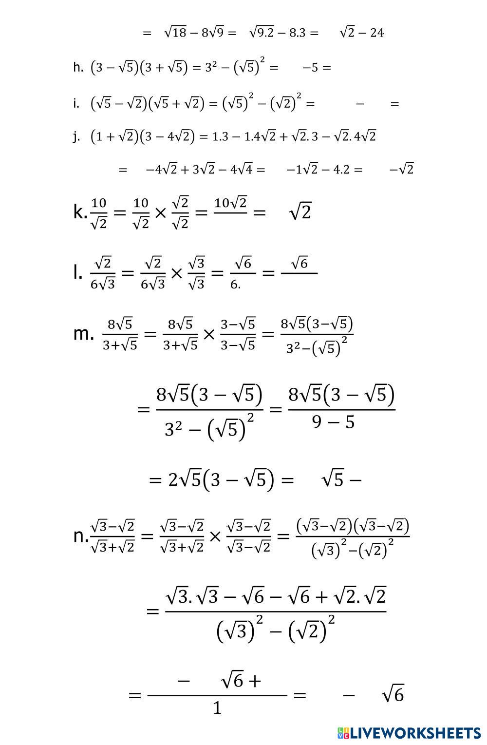
Operasi Hitung Bentuk Akar
-
Edad 14+
-
level: X
-
Indonesian
Instrucciones del autor
-
Matematika
-
Operasi Hitung Bentuk Akar
-
Edad 14+
-
level: X
-
Indonesian
¿Quieres miles de fichas gratuitas (y cero distracciones)? 