-
Matematika
-
Törtek
-
Edad 12-14
-
level: grade 7
-
Hungarian
Instrucciones del autor
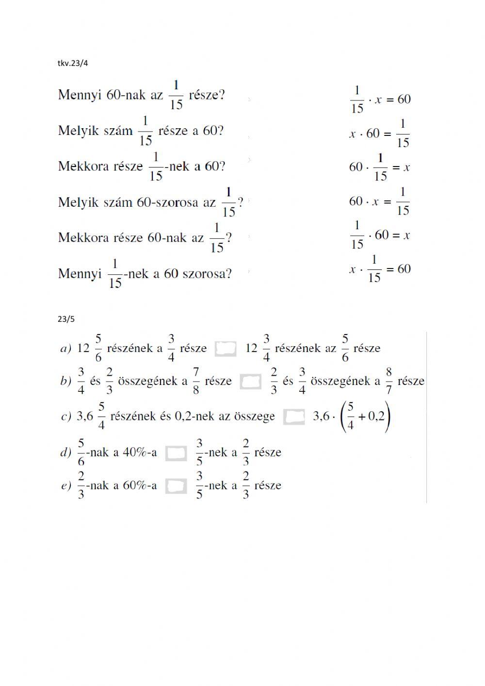
Ofi-s tankönyv 23/4,5-ös feladat
-
Matematika
-
Törtek
-
Edad 12-14
-
level: grade 7
-
Hungarian
Instrucciones del autor
Ofi-s tankönyv 23/4,5-ös feladat
¿Quieres miles de fichas gratuitas (y cero distracciones)? 