Created by

Maiitematicas
- MATEMÁTICAS
- Ecuaciones logarítmicas
- Edad 15-16
-
level: 4º
- Spanish
Instrucciones del autor
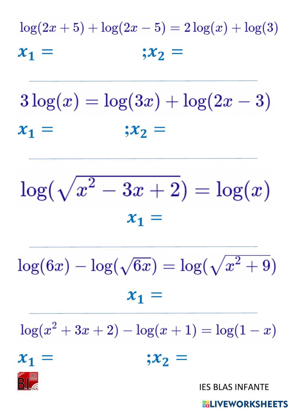
Ecuaciones logarítmicas
Created by

Maiitematicas
Instrucciones del autor
Ecuaciones logarítmicas
Created by

level: 4º
Ecuaciones logarítmicas
Created by

Ecuaciones logarítmicas