-
Math
-
Evaluate
-
Edad 8+
-
level: High School
-
English
Instrucciones del autor
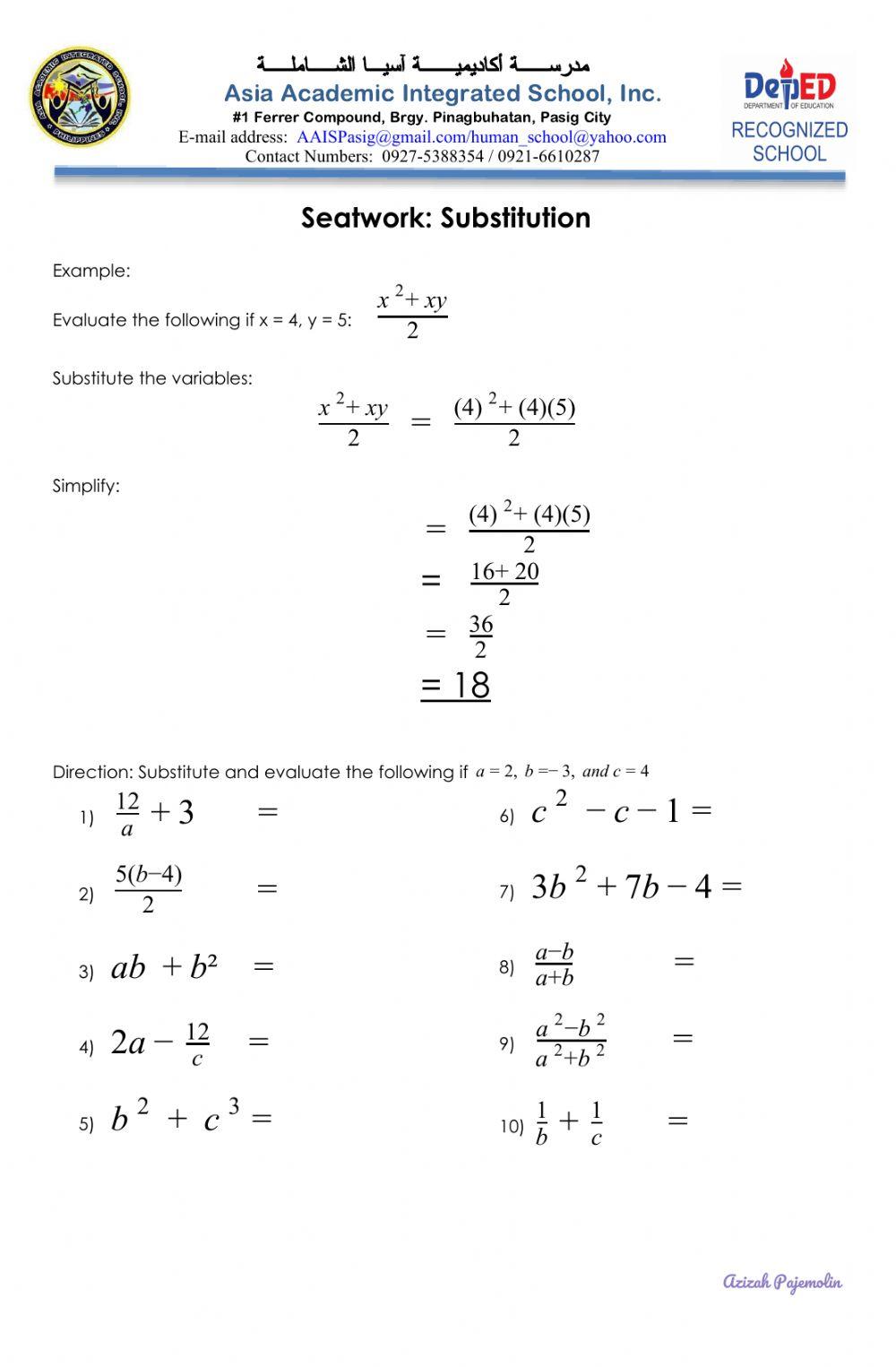
solve the following
-
Math
-
Evaluate
-
Edad 8+
-
level: High School
-
English
Instrucciones del autor
solve the following
¿Quieres miles de fichas gratuitas (y cero distracciones)? 