-
English as a Second Language (ESL)
-
History of chocolate, literature
-
Edad 17+
-
level: 2º Bachillerato
-
English
Instrucciones del autor
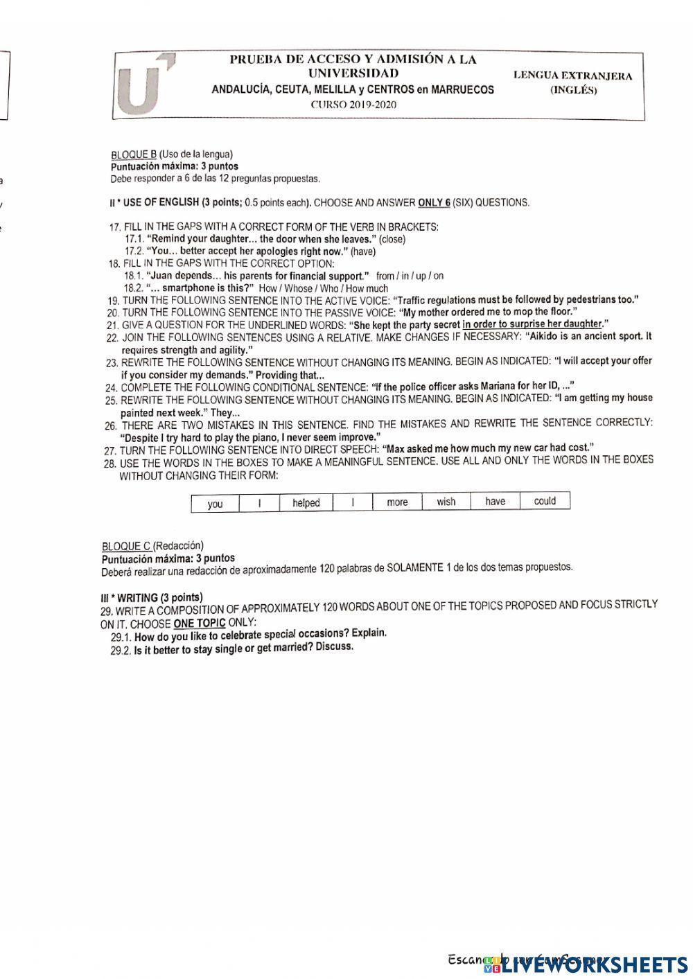
Pevau, Andalucía, Andalusia, 2019/20, Reading comprehension and use of English
-
English as a Second Language (ESL)
-
History of chocolate, literature
-
Edad 17+
-
level: 2º Bachillerato
-
English
Instrucciones del autor
Pevau, Andalucía, Andalusia, 2019/20, Reading comprehension and use of English
¿Quieres miles de fichas gratuitas (y cero distracciones)? 