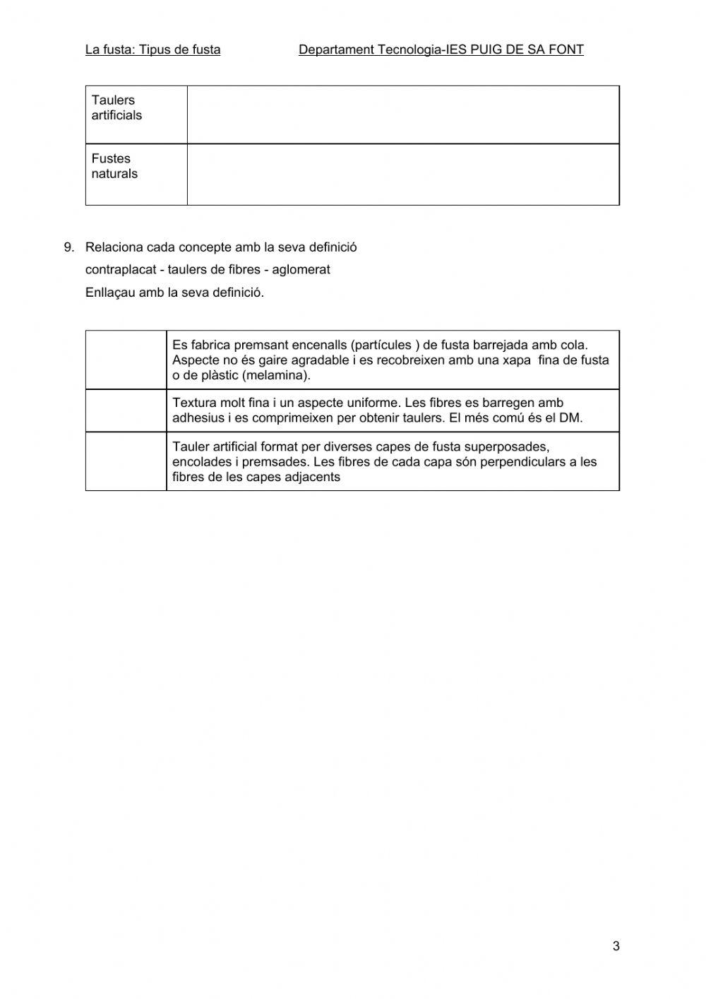
Created by ajfons Tenologia La fusta Edad 13-14 level: 2n ESO Catalan Instrucciones del autor Tipus de fusta My Google Classroom Courses × 0 classes selected (0 students total) Quick Access Select all classes (0 classes) All Classes Loading courses... Cancelar Share Share to selected Course __COURSE_NAME__ __STUDENT_NAME__ (__STUDENT_EMAIL__) La fusta: tipus de fusta Descargar Worksheet Validation Comprobar mis respuestas Emails my answers to my teacher Nombre completo Group/level Asignatura Teacher's email or key code Close Submit Validating worksheet... (12) Your answers have been sent to your teacher. Good luck! OK We encountered an error submitting your answers. Please try again. OK Anuncio | Ir sin anuncios Created by ajfons Tenologia La fusta Edad 13-14 level: 2n ESO Catalan Instrucciones del autor Tipus de fusta