Created by

MARIACRESPO
-
Matemàtiques
-
Llenguatge algebraic
-
Edad 12-14
-
level: 2ºESO
-
Catalan
Instrucciones del autor
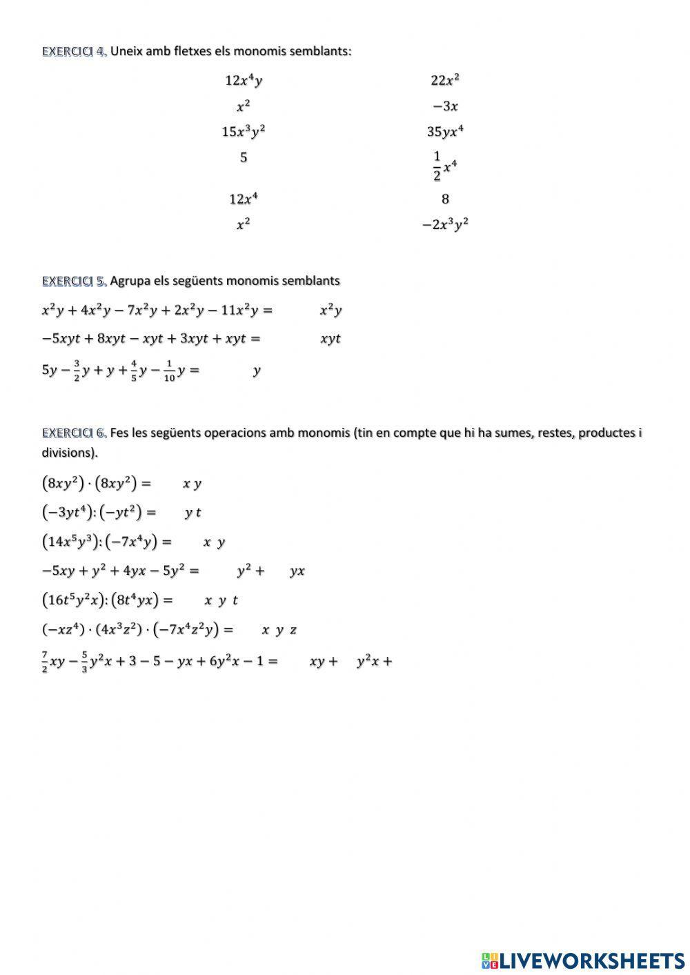
Sumes, restes, productes i quocients de monomis. Monomis semblants. Valor numèric d'un monomi.
Created by

MARIACRESPO
-
Matemàtiques
-
Llenguatge algebraic
-
Edad 12-14
-
level: 2ºESO
-
Catalan
Instrucciones del autor
Sumes, restes, productes i quocients de monomis. Monomis semblants. Valor numèric d'un monomi.
¿Quieres miles de fichas gratuitas (y cero distracciones)?