¿Quieres miles de fichas gratuitas (y cero distracciones)? Here’s how
Más popular
Newest
Oldest
A-Z
Z-A
Hebrew
Draw a line between the vowel and the word that start with the same vowel מתחו קו בין הצליל למילה המתאימה
כימיה
התאמת תיאור מילולי לשפה כימית
מתמטיקה
משפטי חפיפה זהוי
חוק הפילוג המורחב
ESL
learn about purim
פונקציה ריבועית - הזזה אנכית
שטח משולש - סיכום נושא
שטח משולש ישר זווית-מספרים
חישטב היקף ושטח מלבן
פאזל גרירה
קובץ עם 8 תרגילים הכוללים את חוק הפילוג המורחב ונוסחאות הכפל המקוצר
לשון
paje lesson
מבוא לפונקציות-קריאת נתונים מגרף
[email protected]
עליה וירידה בצורה אלגברית ובגרף
אנליטית משוואת ישר 803
אנליטית משוואת ישר תרגול 803
הסתברות
שאלות מהמאגר
חזקות ושורשים
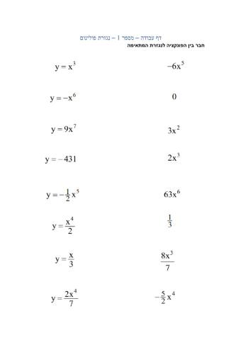
התאמה בין תרגיל לתוצאה
גאומטריה
שימוש בתכונות של דלתון לפתרון תרגיל
מדעי המחשב
תנאי מורכב, אופרטורים בוליאניים
שפה עברית
דף עבודה בשם הפועל
בעיות גדילה ודעיכה
תרגיל - בוחן. מילות יחס