📚 New Feature: Share worksheets & get automatic grading via Google Classroom 🎓 Learn how
Algebra
Most Popular
Newest
Oldest
A-Z
Z-A
Math
fractional powers match up
الصف السابع
Algebra - Math
fill in function machine inputs and outputs
sub into expressions
Student need to find the value for the letter in each equation. That letter represents unknown value.
Using rule 3
Basics Algebra
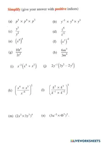
more practise with negative powers
Understanding Domain and Range
Worksheet to practice finding the unknown.
Multiplication for Grade 3
A combination of expressions, equations and substitution.
intro to evaluating trig expressions
Algebra and integers
Mathematic for Admission test
matchstick pattern
Evaluating fractional powers