📚 New Feature: Share worksheets & get automatic grading via Google Classroom 🎓 Learn how
Álgebra
Most Popular
Newest
Oldest
A-Z
Z-A
Matemáticas
Operaciones con polinomios y factorización
Repaso de Ecuaciones de primer grado
Refuerzo producto de polinomios
Seleccionar las opciones correctas.
Refuerzo de traducción al lenguaje algebraico
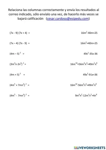
resolución de productos notables
Aplicación del teorema del binomio al cuadrado
Encontrar los términos semejantes
Ecuaciones de segundo grado paso a paso 2
Multiplicación de polinomio por monomio
Preparación Evaluación de Unidad de Álgebra
calculamos operaciones aplicando la introducción al álgebra.
Esta actividad contempla conceptos básicos del álgebra.
Actividades para repasar monomios y ecuaciones
Resolución de adición de expresiones algebraicas.
Calcular el área de un triángulo, solucionando una ecuación cuadrática.
esquema mudo de resolución de ecuaciones de segundo grado y tipos de soluciones
Ticket de salida para evaluar formativamente lo que han aprendido en ecuaciones e inecuaciones.
Problemas aplicando área y álgebra
Resolución de ecuaciones lineales
Conceptos básicos de álgebra
Ecuaciones
Escribirá las expresiones verbales o escritas en forma de expresiones algebráicas.
El estudiante determina si la relación dada es o no una función. También, establece el dominio y el rango de la relación.