📚 New Feature: Share worksheets & get automatic grading via Google Classroom 🎓 Learn how
SAINS
Most Popular
Newest
Oldest
A-Z
Z-A
LATIHAN SAINS TAHUN 5
CARA MENGURANGKAN PENCEMARAN BUNYI
SAINS TAHUN 1 UNIT 7 : MAGNET
SIFAT CAHYA SAINS TAHUN 4
SAINS TAHUN 6 UNIT 6: DAYA DAYA GESERAN MENAMBAHKAN DAYA GESERAN DAN MENGURANGKAN DAYA GESERAN
Kelaskan benda hidup dan benda bukan hidup
Hubungkait beban, fulkrum dan daya
Benda hidup dan ciri-ciri benda hidup.
Sila rujuk buku teks/nota untuk menjawab.
SAINS TINGKATAN 5 KSSM
SAINS TINGKATAN 4
UJIAN SAINS TINGKATAN 2 BAB1 HINGGA 5 BAHAGIAN C
BIODIVERSITI
SAINS TINGKATAN 2
JENIS BAHAN BUANGAN
Kitaran air
FASA-FASA BULAN
TEKNIK MENGUKUR PARAMETER KESIHATAN BADAN
SOALAN 1-16
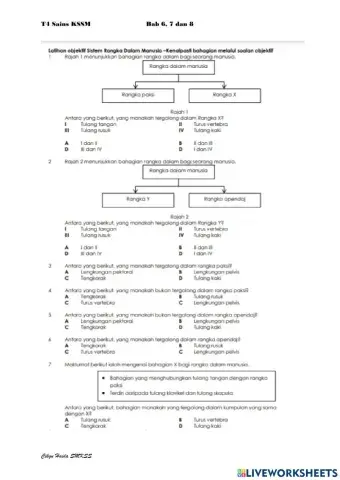
BAB 6, 7, 8
Latihan Galaksi
Pewarisan manusia
FASA BULAN DAN BURUJ