-
מתמטיקה
-
נגזרת
-
Age 14-16
-
level: י 4 יחל
-
Hebrew (modern)
Author's Instructions
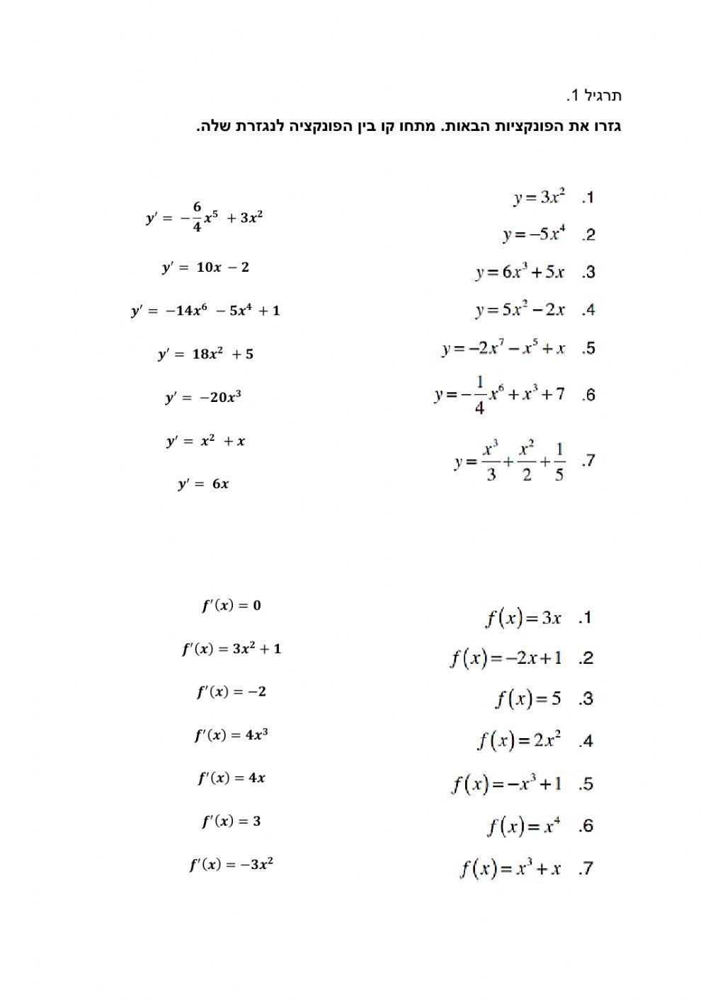
תרגול בסיסי של נגזרת פולינום
-
מתמטיקה
-
נגזרת
-
Age 14-16
-
level: י 4 יחל
-
Hebrew (modern)
Author's Instructions
תרגול בסיסי של נגזרת פולינום
📚 New Feature: Share worksheets & get automatic grading via Google Classroom 🎓
