-
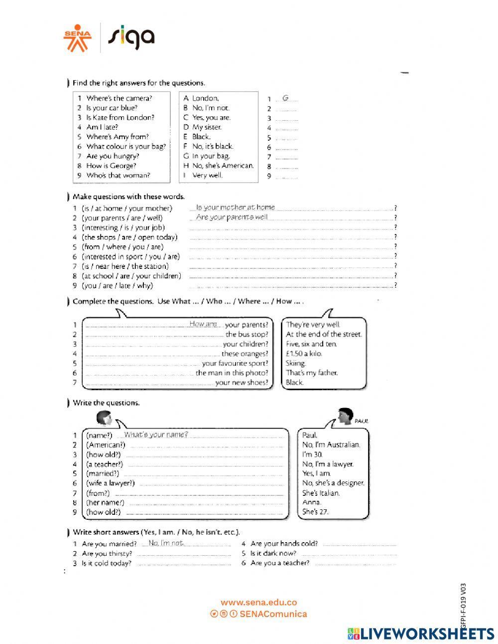
English as a Second Language (ESL)
-
Verb to be
-
Age 10+
-
level: ELEMENTAL
-
English
Author's Instructions
PREGUNTAS ABIERTAS Y CERRADAS CON VERBO TO BE
-
English as a Second Language (ESL)
-
Verb to be
-
Age 10+
-
level: ELEMENTAL
-
English
Author's Instructions
PREGUNTAS ABIERTAS Y CERRADAS CON VERBO TO BE
📚 New Feature: Share worksheets & get automatic grading via Google Classroom 🎓
