-
Deutsch als Fremdsprache (DaF)
-
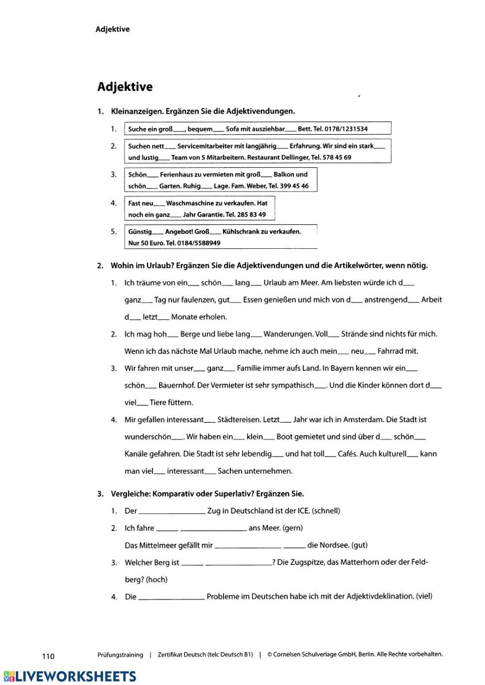
Deklination der Adjektive
-
Age 15+
-
level: B1
-
German
Author's Instructions
aus dem "Prüfungstraining" Zertifikat Deutsch (telc Deutsch B1)
-
Deutsch als Fremdsprache (DaF)
-
Deklination der Adjektive
-
Age 15+
-
level: B1
-
German
Author's Instructions
aus dem "Prüfungstraining" Zertifikat Deutsch (telc Deutsch B1)
📚 New Feature: Share worksheets & get automatic grading via Google Classroom 🎓
