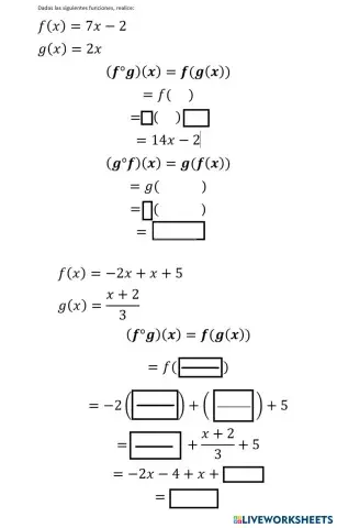
Actividad de inicio. Funciones de proporcionalidad directa Actividad de inicio. Funciones de proporcionalidad directa