¿Quieres miles de fichas gratuitas (y cero distracciones)? Here’s how
Más popular
Newest
Oldest
A-Z
Z-A
math
test assignment
Сэлэнгэ Алтанбулаг ЕБС
Бүлэг сэдэв:Дүрс ба биет
Ерөнхий боловсрол
Нөхөх даалгавар
Хашаат ЕБС
Туршилтын хичээл тул зөвлөгөө өгөөрэй
Mongol hel
ehiig unshaad daalgavar hiih
mongol hel
Гүн галуутай цогцолбор сургууль
7-р ангийн сурагчид хөгжмийн зэмсгийн дуугаралт хөг эгшиглэгээтэй танилцах
Лаборатори 155-р сургууль
3-р улирал холимог тест
mongolian language
физик
мэдлэгээ бататгах дасгал ажил
Математик
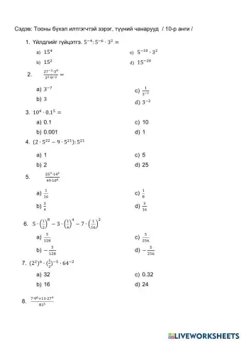
Бүхэл тоон илтгэгчтэй зэрэг сэдвээр эзэмшсэн мэдлэг чадвараа шалгах сорил
Хөгжим
Ижил сэдвээр туурвигдсан бүтээлийг жишээгээр тайлбарлах
үндэсний бичиг
туршилт хичээлийн ажлын хуудас
English
Past simple /affirmative and question/
Өмнөговь 1-р сургууль
Эхээ сайн ойлгож уншаарай.
Дүрслэх урлаг
Сурагчдын мэдлэг чадварыг сорих, оношлох
4-р сургууль
Хэвлэж аваад ашиглаарай.
ЕБ
Өгөгдөлтэй ажиллах
Номгон
Бичих чадвар шалгах
лүн
уриалга бичих
Монгол хэл
Хүүхдийн үгийн баялаг нэмэгдүүлэх, сонсгол яриа сайжруулах
Суурь боловсрол
Монгол ардын хөгжмийн зэмсэг нэгж хичээлийн даалгавар.
127
Өөрийгөө сориорой